1、引言
近年来,随着科技水平的不断提高,各种降噪技术和手段不断应用,制造业各品类噪音已得到明显的控制,家用电器的噪音水平也有了更明显的提升。电冰箱作为生活中二十四小时不断电的家电产品,其噪音主要由压缩机噪音、风道风扇噪音、系统噪音三大部分组成。已有工程师针对其噪音问题进行了大量的研究:杨智辉[1]等通过对冰箱制冷系统内部流动噪声产生机理的研究,为抑制冰箱制冷系统内部流动噪声指明方向;黄龙春[2]等论证了风扇冰箱噪声的贡献和影响, 提出了冰箱风道系统及风扇系统设计的基本要求;陈澎钰[3]等采用理论计算和仿真分析手段,研究了消音器对冰箱压机仓噪音的影响。基于这些研究积累和技术手段,冰箱噪音不断优化,用户噪音投诉持续下降。今后冰箱噪音的持续改善不能只拘泥于传统三大噪音源的研究,应更多的针对噪音细节进行改善。

通过调研2018年冰箱用户噪音投诉细节,发现除了常见的压缩机噪音、风机噪音以外,启动噪音已成为不可忽视的一部分。在所有噪音负面评价中,投诉启动噪音大的用户已约占总投诉的20%左右。在中国标准化协会2018年9月发布的团体标准T/CAS 320-2018《家用电冰箱非稳定运行噪声评价方法》[4]中首次提出了冰箱启动时间段噪声限值要求:任意制冷循环中的启动阶段,启动段噪声值不应高于冰箱铭牌标称值6dB(A)。针对冰箱启动噪音的优化已然成为改善用户投诉和持续提升产品竞争力的重点。本文针对某款直冷冰箱启动噪声,进行了一定的理论分析及实验研究,得到启动噪音相关控制要点,对冰箱启动噪音的优化设计具有一定指导意义。
2、实验设备和方法
定义启动时间段噪音为:在规定的工况下冰箱通电或者重新启动后60秒内的平均声压级。实验使用某款直冷单系统冰箱,噪音探头布置于压机正后方后,后点正对压机30cm、高15cm,如图1所示。噪音采集设备使用丹麦B&K噪音探头及配套软件。进行初始数据收集,采集冰箱启动后噪音的时域及频域数据。图2对比了冰箱启动后60秒与稳定运行时的频域数据,可以发现启动噪音主要在基频、二阶频以及高频3150Hz劣于稳定运行时的噪音。

图1 实验装置和实验方法示意图

图2 启动噪音与稳定运行噪音频谱对比图
3、分析和优化
直冷冰箱噪音主要来源为压缩机,低频噪音主要由于振动激励源压缩机和底板及管路之间发生了共振,而高频噪音则主要受到电机及阀片开闭等影响。冰箱启动噪音与运行稳定噪音相比,主要差别体现在系统压力上。由于启动时系统压力未能达到平衡,吸排气压差相对较大,压缩机整体负荷偏高,导致压缩机振动相应的增大,出现低频振动噪音的概率提高,共振幅值也会明显增大。由于排气压力的提升,导致排气阀片开闭角度与设计工况出现一定偏差,主要体现在高频噪音3150Hz附近。因此,冰箱启动噪音优化主要可从以下三方面入手。
3.1 振动传递优化
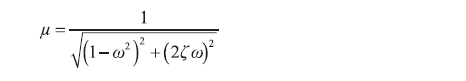
从压缩机振动传递路径上看,脚垫作为压机和箱体连接的第一部件,其隔振性能对振动传递的优化起着最主要的作用。根据机械振动相关理论,压缩机脚垫系统可简化为简谐激励力引起的有阻尼单自由度系统振动问题,脚垫的隔振能力主要其由输入输出的传递率来衡量,稳态激励下,响应特性μ可简化为下述公式[5]:

式中:ζ为阻尼比,ω为频率比,可表示为ω=f/f0,f为激励频率,f0为固有频率,固有频率与质量M、动态刚度C和阻尼K相关。在压缩机和脚垫系统中,激励频率f及质量M是固定的。
由上述公式可知,增加阻尼比可由有效抑制共振时的振幅,如果阻尼比足够大,可以将响应振动的振幅维持在一个较低的水平。因此,通过振动传递路径优化的方法改善冰箱启动噪音,较为可行的方法是从增加脚垫阻尼比的方向入手。因此首先对脚垫的材质进行优化,将脚垫材质由天然橡胶改为丁基橡胶,硬度不变,提升材料属性达到优化目的;同时对脚垫的内部结构进行改善,如图3所示,将脚垫原始的通孔结构改为阶梯孔结构,通过改变结构特性提升脚垫的阻尼效果。实验测得阻尼比由0.062提升至0.51。

图3 脚垫结构优化前后对比图
3.2 管路固有频率优化
除脚垫以外,压缩机吸排气管路对基频和二阶频噪音也有明显的贡献。此频段噪音主要是由于管路共振引起。依据动力学相关理论,此类共振问题可由多自由度无阻尼系统的振动模型表述,其振动微分方程的一般形式可以表示为[5]:

式中:[M]为质量矩阵,[K]为刚度矩阵。在冰箱机械室的吸排气管路系统中,共振的幅值主要由管路整体的刚度决定,表现形式为管路固有频率。优化管路共振噪音,需要通过优化其固有频率与压缩机激励频率的差值来达到。
因此,可以通过结构优化改变管路固有频率的方法改善冰箱启动噪音。现针对回气管管路进行相应模拟分析。按照实际管路情况,建立有限元仿真模型进行相应分析。考虑到冰箱回气管为薄壁型管材,且回气管与箱体等固定连接。固采用壳单元建立回气管路固有频率有限元仿真分析模型,管路连接位置为固定连接,单元类型为S4R,单元大小为1mm。由计算结果可得,原始管路前三阶固频为45.2Hz、49.3Hz、57.7Hz,激励方向分别为前后及上下方向。其中49.3Hz与压缩机工作基频较为接近,易出现部分阵型共振状况。重新设计回气管管路形状,使其固有频率避开压缩机激励频率,如图4所示。由计算结果可得,新管路前三阶固频为46.5Hz、66.3Hz、68.7Hz,激励方向为前后及上下方向,规避了压缩机工作基频49Hz,新管路在此工作状态下振动水平较优。

图4 新旧管路CAE分析对比
3.3 压机阀片优化
根据往复式压缩机的运行机理进行分析,压缩机阀片噪音主要是由压缩机吸排气过程中产生的高速高压气体冲击阀片产生。此时气体湍流顶开弹性阀片,相互作用中导致阀片振动碰撞,产生高频噪音[6]。冰箱停机时,吸排气压力基本处于平衡状态,当压缩机启动后的一段时间吸排气压差会急剧增大,压缩机排气端高压气体对阀片的冲击也会更加剧烈,高频噪音也相对增大。针对高频3150Hz噪音,首先考虑压缩机阀片的优化。这里笔者认为通过增大阀片厚度,在压差基本不变的情况下,阀片最大应力和最大变形量也随之减小,噪声水平也会随之降低。因此,在综合考虑压缩机性能等其他因素后,最终确定将排气阀片厚度由0.154mm优化至0.178mm。
4、实验数据分析
按照上述设计方案,在某款直冷冰箱中进行对比实验,实验时域结果图5所示。实验验证两台样机。通过优化脚垫、回气管路、压机排气阀片,冰箱启动噪音有明显改善。改善前后测试点位置启动60秒内平均声压级分别改善1.66dB和1.87dB,有较明显的优化效果。同时对改善前后冰箱启动噪音频谱进行对比分析,结果如图6所示。优化方案实行后,在基频50Hz、二阶频100Hz及3.15kHz~4kHz频段幅值均有明显下降,个别频段单频噪音降幅达10dB左右。实际测试结果与理论分析目标频率基本吻合。

图5 优化前后启动噪音时域曲线

图6 优化前后启动噪音频谱对比图
5、结论
本文通过理论分析和实验研究,得出直冷冰箱启动噪音主要表现频段为基频、二阶频以及高频3150Hz频段。其主要是由共振噪声和阀片机械噪声组成。通过优化脚垫阻尼比、改变管路形状、改善阀片厚度,可对启动噪音进行多维度改善。经过实验验证有良好的降噪效果,证实了理论分析的结论。在后续冰箱的产品改善中,可以依据本文方法对冰箱启动噪音进行优化,为冰箱的开发提供了相应的设计依据。
参考文献
[1] 杨智辉, 刘益才, 刘振利. 冰箱毛细管流动噪声的实验研究[J].制冷与空调,2006(4): 74-76.
[2] 黄龙春, 范洪安. 无霜冰箱风扇系统噪声的治理[C]. 杭州: 2001中国家电电器技术大会论文集, 2001,119-121.
[3] 陈澎钰, 江俊. 消音器在冰箱降噪中的研究[J]. 家电科技,2015(1): 56-57.
[4] T/CAS 320-2018, 家用电冰箱非稳定运行噪声评价方法[S].
[5] 赵玫, 周海亭, 陈光冶, 朱蓓丽. 机械振动与噪声学[M]. 北京:科学出版社,2017: 92-93.
[6] 季晓明,孟晓宏,金涛. 往复式冰箱压缩机噪声分析及控制方法综述[J]. 噪声与振动工程控制,2007(1): 17-20.





关闭返回